Ga direct naar de hoofdinhoud
Omtrent pi
Omtrent pi
  • Home
  • INLEIDING: pi-weetjes
  • Pi-dag brochure 2015
  • Pi-dag brochure 2016
  • Pi-dag brochure 2017
  • 20 pi-rebussen
  • Griekse tango - Drs. P
  • 31,4 pi-weetjes (bron: De Standaard)
  • Vraag 1
  • Vraag 2
  • Vraag 3
  • Vraag 4
  • Vraag 5
  • Vraag 6
  • Vraag 7
  • Vraag 8
  • Vraag 9
  • Vraag 10
  • Speelse wiskunde op de pi-dag (Christa Van de Kerckhove)
  • Benaderingen van pi (Koen De Naeghel)
  • Wiskundige Ann Dooms (VUB) over de constante pi
  • Opgave voor de pi-dag 2020
  • Archimedes en pi (Jeanine Daems)
  • Benaderde waarde van pi via twee regelmatige achthoeken
  • Het pi-pad in Oostende
  • Pi-klok
  • Een verrassende benadering voor pi
  • Een merkwaardige benadering voor pi
  • Gemiddelde lengte van een koorde in een cirkel met straal 1
  • Pi-reeksen
  • PI-pentominopuzzel 2021 (Odette Demeulemeester)
  • PI-QUIZ 2021 (VVWL - Ivan De Winne)
  • Gelijkzijdige driehoek en vierkant in een PI-cirkel
  • Berekening van de decimalen van pi (Rob van Oord)
  • Nieuwe PI-PENTOMINO-PUZZEL
  • PI-weetjes 2025 (EOS)
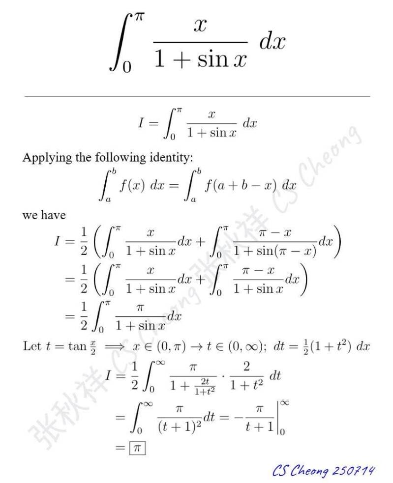
  • PI-formules
  • PI-integraal
  • Postzegels ter ere van pi-dag (2025)
  • Brochure pi-dag 2026 - Sint-Jozef - Sint-Pieter Blankenberge
  • Pi-weetjes (2026) met een python-programma (Buffon)
  • SCHAKELAAR

Maak jouw eigen website met JouwWeb

© 2019 - 2026 Omtrent pi
Powered by JouwWeb